关于印发《必赢国际437官网本科专业课程目标达成度评价实施细则》的通知
时间:2024-03-18    点击次数:[]

院内各单位:

《必赢国际437官网本科专业课程目标达成度评价实施细则》已经本院党政联席会审议通过, 现予以印发,请遵照执行。

必赢国际437官网

2017 5 16


必赢国际437官网

本科专业课程目标达成度评价实施细则

课程是人才培养的核心要素,是直接支撑毕业要求达成与落实的关键环节,课程质量直接决定人才培养质量。为落实学生中心、产出导向、持续改进的教育理念,依据《工程教育认证标准》等相关文件要求,规范人才培养质量达成度评价的程序和办法,结合本院各专业实际情况,对本院课程进行全方位、全过程的评价,并将评价结果应用于课程教学质量的持续改进,不断提升教师的教学质量和人才培养质量,特制定本实施细则。

一、评价对象

本院各专业人才培养方案中所开设的所有课程。

二、评价周期

课程目标达成度评价每个学期开展一次,原则上在学期末课程考核结束后开始。

三、评价依据

课程目标达成度评价依据为:课程教学大纲与考核材料,含笔试、实践、其它方式或能反映课程目标达成的其它相关资料。笔试的试题与课程目标匹配,分数分布以课程分目标权重为参考;实践的任务能体现所对应支撑子课程目标的关键能力,有明确的评分标准,分数有区分性;课堂活动、课后作业、实验报告、小论文等评价方式,也要对应课程目标进行评价,评分标准明晰、可操作,分数有区分性;能反映课程目标达成情况的其它资料也可作为评价依据,如课程结束后对学生课程学习情况问卷调查资料等。

四、评价方法

根据不同课程目标,采用与其适配的评价方式与方法, 直接评价可运用课程考试的结果性评价方法,更注重课堂表现测评、作业检测、单元测试、期中考核等过程性评价方法,案例分析、设计展示、课程论文、专题报告、实验实训等表现性评价方法,毕业论文(设计)、专业实践(见习、实习)等综合性评价方法。间接评价则可通过向学生,任课教师等发放问卷的形式进行评价。

首先,根据课程(理论类课程、实践类课程)教学大纲所支撑的毕业要求指标点,确定多个课程目标;接着,根据对支撑毕业要求指标点、课程目标、课程教学和达成度评价的侧重点的理解,确定计算课程目标达成度时不同考核方式的权重;然后,根据公式4-1计算课程每个课程目标的达成度;最后,采用公式4-2计算门课程的达成度,进行结果分析,并将评价结果进行反馈,以便教学环节和质量进行持续改进。课程达成度具体过程如下:

1.权重设置

由任课教师、专业负责人和教学指导委员会成员,根据培养方案中课程对毕业要求的支撑强度,以及企业专家意见综合确定各个课程目标的权重,以及各考核方式的比例。

2.课程目标达成度的计算公式

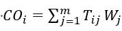
该门课程第i个课程目标的达成度(COi),根据课程教学大纲所规定的考核评价方式(课堂表现、作业实验、期末考试等)进行计算,即各考核项的得分值的加权求和,如公式4-1所示。

(4-1)

其中,Tij是某门课程第i个课程目标在第j种考核方式中的达成度计算值,即Tij=实际得分/预期得分,Wj是第i个课程目标在第j 种考核方式中的权重,m是考核方式数。

3.课程达成度计算

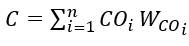
课程的达成度(C)由该门课程的多个课程目标(CO)的达成度值和权重(W)的加权求和达到,如公式4-2所示。

 (4-2)

其中,C是该门课程的达成度计算值;COi是该门课程第i个课程目标的达成度计算值;是该课程第i个课程目标的达成度计算权重,n为课程目标数。

五、评价内容

评价内容应聚焦课程教学目标体现的学生学习成果,评价的内容要能充分体现所对应课程目标的关键素质与能力发展情况,体现知识的深度理解与高阶能力发展;探索情感类、价值观类课程目标的有效评价内容与方式。

六、评价流程

1.任课教师在课程讲授开始时告知学生课程教学大纲内容,明确课程的教学目标及支撑的毕业要求指标点、课程内容、课程教学方法、课程考核方式、课程考核评分标准、过程性评价的评分标准等,以保证课程教学与考核过程中收集资料的完整性和合理性;

2.任课教师在课程教学过程中可采用多种方法收集学生学习情况评价资料,通过过程性评价和表现性评价,评价关键素质与高阶能力发展;

3.课程结束时,任课教师按教学大纲要求对学生进行全面的考核;

4.课程结束后,任课教师对课程目标达成资料进行整理。 对于定量资料,依据课程大纲中的达成度计算方法,计算课程目标达成值,完成达成情况分析与评价。对于非定量资料,教师依据设计的评价方法,分析评价课程目标达成情况;

5.任课教师完成课程目标达成度评价结果报告。

七、评价结果及运用

1. 课程目标达成度评价结果报告要针对每一个课程目标分析学生的达成情况以及存在的问题与不足,针对不同类型的问题分析其形成的原因,并拟定下一轮授课的具体改进措施。

课程目标达成度评价结果报告以文档的方式呈现,要求评价记录完整、可追踪(具体见附表),以课程和班级为单位进行评价,基本内容包括课程基本信息,课程目标,课程目标与毕业要求指标点的对应关系,对应课程目标的评分标准、评价方法、评价依据,评价结果分析,课程的反思,课程的持续改进等。

2.专业负责人(系主任)审核课程目标达成度评价结果报告及相关材料;

3. 课程目标达成度评价结果报告与考核资料一起,放入档案袋由学院教务科保存,保存六年以上。

4.课程目标达成度评价结果可用于任课教师了解课程特点及所处水平、了解课程存在问题、帮助教师针对性的改进相应教学环节,如调整教学内容、改进教学方法、设计新一轮授课教学方法、寻找其它达成学生发展预期的方法和途径等,进而推动教学改革,推动本科人才培养质量的持续改进。

八、本细则自发布之日起实施,由学院负责解释。

附表1:必赢国际437官网课程目标达成度评价结果报告

附表2:必赢国际437官网期末考试考核合理性审批表

附表3:必赢国际437官网考查考核合理性审批表

附表4:必赢国际437官网课程考核方式与课程目标关联分析表



关闭